震源在隧道超前地质预报中的应用及效果分析

震源在隧道超前地质预报中的应用及效果分析

价格 面议
起订量 10㎡
货源所属商家已经过真实性核验
品牌 工程物探仪器设备供应服务商
型号 电火花震源
关键字
在线咨询 立即下单 留言询价 电话咨询
北京同度工程物探技术有限公司
通过真实性核验手机验证
主营:
隧道超前预报设备:掘进机超前预报,浅层陆地勘探,跨孔CT,电火花震源,桥梁无损检测,水上多道地震

进入店铺全部产品

店内推荐

联系我们

联系人:赵晓鹏

邮箱:

电话:13601391546

地址: 北京丰台区北京市海淀区花园路2号院2号楼1112室

产品详情
型号

电火花震源

测量范围

不限

用途

预报地质构造,又能预报含水性

加工定制

产地

北京

厂家

同度物探

  近年来,我国隧道及地下工程事业迅猛发展,伴随着人们对安全施工的重视,隧道超前地质预报工作的重要性得以凸显出来。超前地质预报作为隧道施工建设中不可或缺的一项,对信息化施工、安全生产具有突出贡献。在物探方法中,地震波法超前地质预报技术首先启用、发展迅速、应用领域最广,其对具有弹性波阻抗差异的地质异常体反应较灵敏,对影响围岩完整性的不良地质因素(节理裂隙发育、断层及断层破碎带、岩溶、蚀变等)探测效果。

  地震波法超前地质预报是一项综合性的技术工作,震源是其中一重要环节,信号采集质量,探测距离等都受震源影响制约。目前国内外的超前预报使用的震源主要分为两类:一类是膨胀点源,如,电火花震源;另一类是表面撞击震源,如锤击,可控冲击震源等。这两类震源产生的纵波和横波的辐射场的特点是不同的,选择用纵波还是横波做超前预报不是随意的,必须与震源辐射场特点相匹配,否则会事与愿违。对各种震源以其能激发产生的能量从强到弱进行排序:震源,电火花震源,可控震源,与锤击震源,这恰恰与使用的便利程度相反。震源的使用最为频繁,众多地震波法超前地质预报技术的开发与应用都基于此,但其受严格管控,局限很大。锤击震源虽然作为非震源中使用最多的一种,但是其能量较弱,不稳定,不可控,抗干扰能力较差的特性也被众人所熟知,被逐渐替代。作为非震源中举足轻重的一种,电火花震源正逐步代替,广泛应用于资源勘探与工程勘探当中。除传统海域、水域石油地震勘探领域,近年来电火花震源还被应用于西部复杂沙漠地区的表层调查中。由于其安全、环保的特性,电火花震源在城市物探中大展身手,普遍用于跨孔CT、散射、反射等地震勘探方法,对地下孤石、岩溶、空洞、破碎带等不良地质体进行探测。电火花震源的这些特性使其良好契合超前地质预报工作,能够在隧道中大放光彩。可控冲击震源则在金属矿藏、浅层油页岩勘探以及表层调查和城市浅层勘探中的应用屡见不鲜。也有学者进行过震源与可控震源的对比研究,阐述了相较于,可控震源频率和能量可控的特点。这使可控冲击震源具备在隧道内工作的前提条件,可作为代替的备选方案。在超前地质预报中,由于施工环境的复杂性和地质条件的多样性,各种震源都有其局限性。如何针对不同施工方法的隧道环境,选择适用的非震源技术,对于提高预报的准确性是必要的。本文就膨胀点源与表面撞击震源波场匹配的问题加以分析,并针对目前国内外常用的电火花震源、可控冲击震源[17,18]开展隧道超前地质预报实验研究工作,为后续开展隧道超前地质预报工作提供指导帮助,以期推动超前地质预报技术的发展进步。

  0震源原理与波场分析

  0.1震源技术原理

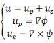
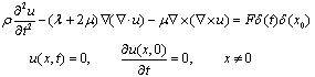
  膨胀点源的波场比较简单,主要产生纵波,是球对称性的辐射场。表面撞击震源产生的波场则有些复杂,应用中存在误区,这里重点讨论表面撞击震源波场的问题。表面撞击震源可以看成是表面集中力点源。时间上具有单脉冲性质,位置上集中在一个点上。它产生的弹性波满足如下的波动方程,其初始位移场与速度场均为零。

  这是弹性波位移场u(x,t)满足的普适方程。方程中包含有纵波和横波振动。纵波与横波的传播速度是不同的,引入Lame(拉梅)定理,可以把弹性波方程分解成纵波和横波相互独立的方程,这样研究起来更为方便。在Lame定理形式下,弹性波方程分解为如下方程组。总位移场分解为纵波位移场与横波位移场之和:

  其中Φ为标量位,Ψ为矢量位。分解后独立的纵波与横波的传播方程分别为:

  其中α、β分别为纵波与横波波速;F为产生纵波与横波的力源。这类集中力的波动方程的解析解最早由Stokes于1948给出,在Aki等所著的定量地震学和徐果明等所著的地震学原理中这些解都有详细地推导[19,20]。纵波位移场up和横波位移场us表示如下:

  式中θ为力的方向与观测点径向方位的夹角。纵波的位移方向与径向一致,横波的方向与径向垂直。当撞击震源作用于隧道表面时,公式中分母的立体角4π改成半空间立体角2π。

  0.2震源在隧道内激发的波场

  上述结果表明,撞击震源产生的纵波与横波的传播具有不同的方向性。纵波传播的优势方向是平行力的方向。在平行力的方向位移(θ=0),在垂直作用力的方向上位移最小(θ=π/2)。横波传播的优势方向与纵波垂直。在垂直于力的方向上横波位移(θ=π/2),在平行力的方向位移最小,其方向图如1、2所示。

  图1 撞击震源产生的纵波和横波位移分布

图2 撞击震源激发波场的方向

  表面撞击类震源的波场决定其做隧道超前地质预报时不同于,不能简单套用。在隧道两侧壁使用锤击震源或冲击震源时,地震波辐射场如图2所示,纵波在径向是优势方向,而横波的优势方向为轴向。纵波主要沿隧道的径向、平行撞击的方向传播,轴向传播的纵波能量较弱,不可能从前方返回较强的反射波。相反,横波向掌子面前方传播的能量较强,能产生较强的反射波。因此,使用侧面撞击震源时,应该采用横波做超前地质预报,这与以往的和电火花震源等点膨胀震源不同。记录横波的检波器应该沿隧道径向布置,并且与撞击力在一个平面上。此时,前方反射的横波与侧面反射的纵波记录在检波器的同一分量上,而且能量较强。

  1电火花震源在宝林隧洞中的应用

  1.1宝林隧洞工程概述

  依托湖北省鄂北地区水资源配置工程,选取了具有前期地质勘察资料的宝林隧洞,如图3、4所示,开展现场实验研究工作。宝林隧洞采用了钻爆与TBM两种工法进行开挖掘进,非常契合非震源的隧道超前地质预报工作,且TBM等机械开挖隧道的预报工作也是一个研究重点[21-23]。

图3 宝林隧洞平面示意图

图4 宝林隧洞纵剖面图

  隧洞围岩主要为太古界桐柏山群新店组(Arx)混合片麻岩,呈新鲜状。上覆岩体厚127~205m,洞身有断层F30、F31及关门山背斜轴线通过,在断层及背斜轴部岩体完整性较差。隧洞走向100°,背斜南西翼片理产状215°~230°∠28°~75°,背斜北东翼片理产状49°~58°∠62°~70°,片理走向与洞线交角 39°~48°。

  1.2电火花震源适应性实验研究

  本次实验开展了电火花震源适应性研究工作,实验内容包括电火花震源单次激发能量与的对比,以及对地震波法超前地质预报比较重要的激发稳定性研究。实验布置在隧道岩壁上,采用直线排列摆放检波器,道距1m,偏移距3m,激发点先进行电火花激发9次,再用激发3次,如图5所示,确保同一激发孔内电火花震源与激发位置相同。共进行了12次数据采集,通过对比试验,得到电火花震源能量和震源能量对比情况,如图6、8所示,在相同岩性地质条件、激发孔充水良好情况下,电火花震源激发效果与乳化相近。实验过程中发现:若激发孔充水不足,电火花震源激发不充分,采集得到的地震记录质量较差,如图8。而在充水良好情况下,提高激发能量会得到更好的地震记录,但是随着电火花震源激发能量的提升,其激发效率也会下降、电容器会变大致使运输便利性下降。统计电火花震源与震源每道接收的初至时间,如图7所示,可以看出多次激发后同一道的地震记录初至时间波动不大,说明了电火花震源激发是稳定的、可重复的,适宜用于超前地质预报。

图5 电火花震源适用性实验观测布置方式

图6 电火花震源能量和震源能量对比

图7 稳定性实验初至时间统计

图8 不同激发能量的电火花震源与乳化地震记录对比

  1.3观测布置方式及仪器参数选择

  超前地质预报系统由激发和采集两部分组成。激发部分由震源及触发器组成,采集部分由主机、检波器及信号传输线缆组成,详见图9。

图9 采用电火花震源的超前地质预报观测系统布置方式

  其中主机为24通道,采样频率设置为156Khz。检波器为内置IC放大器的压电晶体带阻尼检波器,频带0.5Hz~5000Hz。震源采用电火花震源。

  本次观测系统采用4m道距方案,激发与接收孔位都布置在隧道侧壁上,等间距平行布置,埋深1.8m。共计8个地震道,间距4.0m;电火花震源孔共计8个,除第1排震源孔距一炮检波器4米外,其余3排间距16m。通过上述电火花震源能量实验,选用40kJ能量激发。

  1.4实验成果及分析

  对电火花震源激发采集的得到的数据(如图10、11)进行能量化法进行波速扫描,取得247+837-247+737成果图,如图12所示。

  地质构造偏移成像图中横坐标为隧道里程,纵坐标为隧道横向展布,蓝色条纹揭示围岩由硬变软的负反射界面,红色表示由软变硬的强反射界面。实际开挖结果与预报结果基本一致,如图12-14所示,地质素描图中红色为花岗岩,天蓝色为片麻岩,深蓝色为片岩。震源对隧道超前地质预报起支撑作用,震源的好坏决定采集得到的数据质量,最终影响到预报的准确性;而震源能量的大小影响了超前地质预报的距离。通过本次实验,证明了电火花震源作为隧道超前地质预报震源的适用性和可靠性,证实其可以用于超前地质预报,其具有能量可调,激发延时稳定的优点。

图10 电火花震源单炮x分量道集地震记录

图11 波场分离后的同侧激发接收x分量道集地震记录

图12 地震波偏移图像(上)、波速图像(中)和地质素描结果(下)

图13 247+820附近地质情况

图14 247+790附近地质情况

  2可控冲击震源在宝林隧洞中的应用

  2.1可控震源原理及适应性研究

  在目前管控越来越严格情况下,开展各种非震源的隧道超前地质预报实验是重要且必要的。作为一种表面撞击类震源,可控冲击震源激发的能量可控,叠加效果优于人工锤击。可控冲击震源是一种新型震源,它的工作原理是通过编码控制震源的重复频率,通过相关处理将小能量信号累集成大能量信号,从而提高信噪比[17,18]。可控冲击震源的优点是便于搬运,且无需打孔,不破坏洞壁。

  用可控冲击震源在宝林隧洞出口段,进行超前地质预报对比实验。由上述波场原理可知应采用横波进行预报。

  2.2测布置方式及仪器参数选择

  观测布置与电火花震源实验基本一致,但是间距有所变化:检波器间距采用2.0m;震源激发点除每侧第1排震源点距检波器2m外,其余激发点间距均为8m,具体布置如图15所示。

图15 采用可控冲击震源的超前地质预报观测系统布置方式

  仪器包括地震信号采集系统和震源两部分,地震信号采集部分与电火花震源实验一致,震源采用可控冲击震源,如图16所示。本次预报实验中,可控冲击震源使用的激发参数为:重复频率2-8次/秒,冲击时间100s,冲击次数500次/点,冲击能量为24kJ/点。

图16 隧道内可控冲击震源激发现场

  2.3试验成果及分析

  可控冲击震源单炮记录如图17所示,地震波同相轴清晰,反射界面明确。预报成果图如图18所示,偏移图像给出了地质界面的位置,波速图给出了围岩的真实波速。248+796~248+817段受F31-1断层及其影响带,沿破碎带有角砾岩分布,局部地段有糜棱岩,岩体破碎,节理裂隙发育,如图19所示,预报结果与现场开挖情况一致。本次实验表明在良好围岩地质条件(III级)下,可控冲击震源可以替代震源进行隧道超前地质预报,探测预报距离100m。

图17 可控震源激发的同侧激发接收Y分量道集地震记录

图18 地震波偏移图像与波速图像

  图18 地震波偏移图图17 可控震源激发的同侧激发接收Y分量道集地震记录像与波速图像

图19 248+796~248+817段破碎围岩

  3结论与讨论

  (1) 开展电火花震源作为地震波法超前地质预报震源的适应性实验,研究表明可以利用电火花震源代替传统的震源,其激发稳定,起跳一致性较好。相比于激发造成围岩的塑性形变,电火花震源造成的是弹性形变,对围岩破坏性较小,可以在同一激发孔内多次激发,多次采集,保证地震记录质量。实验对比了电火花震源与震源的激发能量,指出在一般岩性情况下,采用40kJ电火花震源足以满足地震波法超前地质预报的需求,探测距离达100m。

  (2) 在宝林隧道的超前地质预报实验过程中发现,电火花震源激发需要良好的水环境,当激发孔内存水不足,激发产生的地震波能量会有所下降。

  (3)开展了可控冲击震源地震波法超前地质预报实验,作为表面撞击震源,其能量可控,运输便利。通过波场分析,发现表面撞击类震源应采用横波进行预报。实验结果表明在完整、坚硬围岩情况下,探测距离达100m。但需要注意的是使用可控冲击震源,直接在裸岩表面激发,在初支表面激发时容易受初支与围岩之间的空腔影响。

  综上所述,电火花震源适宜在一般岩性下的钻爆、TBM施工隧道内使用,对岩溶、黄土等特殊隧道的适应性需要进一步研究。电火花震源激发效果严重受制于激发孔内充水情况,且激发时会产生强电磁干扰,这都是电火花震源使用所面临的问题。可控冲击震源适宜在TBM掘进隧道中使用,在钻爆隧道内使用则受围岩情况制约。可控冲击震源与掘进机集成,做一体化设计,是TBM隧道超前地质预报未来发展方向,建议进一步研究。

售后服务

商家电话:
13601391546