同度物探地震散射在盾构隧道海底孤石探测中的应用

同度物探地震散射在盾构隧道海底孤石探测中的应用

价格 面议
起订量 10㎡
货源所属商家已经过真实性核验
品牌 工程物探仪器设备供应服务商
型号 盾构隧道
关键字
在线咨询 立即下单 留言询价 电话咨询
北京同度工程物探技术有限公司
通过真实性核验手机验证
主营:
隧道超前预报设备:掘进机超前预报,浅层陆地勘探,跨孔CT,电火花震源,桥梁无损检测,水上多道地震

进入店铺全部产品

店内推荐

联系我们

联系人:赵晓鹏

邮箱:

电话:13601391546

地址: 北京丰台区北京市海淀区花园路2号院2号楼1112室

产品详情
型号

盾构隧道

加工定制

产地

北京

厂家

同度物探

  我国东南沿海地区花岗岩广泛分布。花岗岩风化不均匀,残留有大小不等的孤石和基岩突起,对地铁、公路隧道的盾构施工形成了严重威胁。珠海横琴海底隧道的工程勘察发现隧址范围有隐伏孤石,但具体分布位置不明确。为了在盾构施工前清除孤石,需要补充精细勘查,查清孤石的具体位置。

  孤石的探测是勘查领域中的难点。深圳与广州地铁孤石勘探技术的专题研究认为依靠钻探的方法是难以解决隐伏孤石勘查问题的,仅凭‘一孔之见’无法发现孔间的孤石,建议使用物探方法。通过对物探方法的比较研究,证明瞬变电磁、地质雷达、地震映像等物探方法对孤石探测没有效果;电磁波跨孔CT、钻孔回声法有一定效果,但是准确率不高;超高密度电法跨孔CT和地震波跨孔CT两种方法准确率。在深圳地铁使用高密度电法跨孔CT,福州地铁使用地震波跨孔CT,对孤石探测都取得了明显的效果,但以上研究均适用于陆地。本次珠海横琴隧道位于马骝洲水道,特点是从水面上探测海底地层中的孤石,在无法钻孔的情况下采用了具有高分辨特性的地震散射勘探新技术。勘探成果经过了钻孔的验证,可靠率超过80%,为海底孤石探测提供了新的技术方案。

  地震散射理论最早是由K.Aki (1980)提出来的。他在研究天然地震波在非均匀的地壳与上地慢介质中传播时,发现遇到密度和弹性模量非均匀时会产生散射波。N.布莱斯坦等用速度异常表征地质体的非均匀性,给出了散射波方程的简洁表达。上世纪80-90年代,利用天然地震波的前向散射特性研究地球深部构造取得了丰硕成果。然而,在工程地震勘查中使用人工震源和地表接收,研究非均匀地质体时应该利用背向散射地震波,而背向散射特性的研究在很长的时间内一直是一个空白。直到2006年,赵永贵等率先将背向散射理论应用于隧道超前地质预报中;2011年又将背向散射理论应用到复杂地质结构的精细勘查中,在北京地铁14号线甜水园注浆效果评价、贵州采空区勘察、京沈客运专线柴河大桥岩溶勘查、天津道路塌陷探测、贵州岩溶隧道边坡塌方勘探、山西兴县煤矿采空区探测、隧道病害勘测等工程应用,证明了地震散射技术的实用性和可靠性。本文介绍孤石探测的方法原理、采集方式、数据处理核心技术以及勘探结果的解释原理,以便类似工程借鉴与应用。

  二 地震散射勘探原理与数据处理技术

  1 地震散射勘探的原理

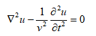
  地震散射理论是研究非均匀地质模型下弹性波传播的理论。在均匀弹性介质中,地震波传播的控制方程为:

(1)

  这是一个齐次方程,其中波速v为常数。该式表明,在均匀介质中地震波是沿直线传播。当遇到边界时才产生反射波与折射波。

  在非均匀地质体中,波速v是空间的分布函数。N.布莱斯坦将波速分布表示为缓变波速v0和陡变系数α(r)的组合形式;

(2)

  这里的α(r)是波速平方差的百分比,实际上是介质力学模量差异的百分比,称为散射系数,其物理含义类似于反射系数。它仅在非均匀介质的界面上不为零。

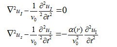
  在非均匀介质中,地震波场不但有入射波,还有散射波。总的地震波场u表为入射波uI 与散射波us之和;

(3)

  将(2)和(3)式带入到(1)式,在散射波us比入射波uI小得多时(波恩假定)有;

(4)

  可得到非均匀介质中入射波uI与散射波us分别满足的波动方程:

(5)

  方程组是地震散射勘探的理论基础。其中前一方程为入射波的传播规律,后一方程为散射波的传播规律。散射波方程为非齐次方程,右端项为等效力源。该式表明,入射波场激励的加速度与散射系数之积是产生散射波的力源。该散射力源具有点源的特点,向周围发射散射波。散射波的强度与散射强度、入射波激励强度成正比。

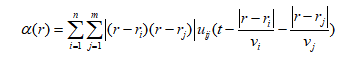
  散射勘探通过在地表激发和接收地震波来研究地下精细地质结构。每个接收点的记录是地下各散射体的散射波之和[3],表如下式:

(6)

  该式表明,散射波的强弱与散射强度α(r)的大小、入射波激振的加速度成正比,与散射体的距离成反比。这表明散射波的传播具有局部特性,这为高分辨勘探奠定了物理基础。

  既然每个接收点的记录包含着附近区域非均匀体散射波的总合,就可通过多点激发和多点接收,联合重建地下结构散射系数α(r)与岩土波速V0的分布。这就是地震散射波勘探的基本目标。散射系数α的分布表征地质界面的分布,波速V0直接反应地层岩性的力学性状。波速与界面两者结合可以清楚地展现非均匀地质结构的基本特征。

  2 地震散射数据处理技术

  地震散射勘探是采用小排列、密集采集的方式。偏移距小于目标深度的1/2。这样采集的数据能反应炮点附近的地质界面和速度结构特征。地震散射数据处理有两个中心环节。首先是从单炮记录生成垂直速度结构,联合各炮点的速度结构组建二维、三维速度结构;然后是依据速度结构和炮点记录,重建地质界面形态。

  从单炮记录生成垂直速度结构包括两个步骤,分别为滤除水底多次波和进行速度扫描。

  1)滤除水底多次波

  多次波是水域勘探中最主要的干扰波,特别是在浅水勘探情况下,严重影响对地层界面的识别。多次波的特点是能量强,具有反射波走时形态,用F-K方向滤波技术很难滤除。这里采用双曲滤波技术。水底多次波具有出现的时间晚、平均速度低的特点。双曲滤波可以在时间-速度域将其滤除。图4a、4b是双曲滤波前、后的记录比较。从中可以看出多次波基本上被滤除了。

  2)速度扫描

  速度扫描是构建垂直速度结构最关键的技术环节。速度扫描是通过Radon变换实现的。根据散射波的走时规律,将空间-时间域的地震数据变换到时间-波速域中。在时间-速度域中,纵坐标时间为垂直散射波的双程时,横坐标为上覆地层的平均波速。变换公式如下。

(7)

  其中x为偏移距,τ为垂直散射双程时,v为平均波速。扫描结果如图1c。

  波速扫描图像中的每个能量极值点都代表一个散射界面。极值点的纵坐标为界面的双程时,横坐标为界面上覆地层的平均波速。很容易由此计算出极值点对应的界面深度和层速度曲线(图1d),这就实现了由炮点记录到垂直波速曲线的转变。曲线中显示了各界面的深度与地层的波速分布。

(a) 地震采集的原始资料 (b) 双曲滤波后去除多次波

(c) 速度扫描结果 (d) 层速度曲线

  图1 速度剖面处理流程与结果

  将多个炮点速度结构按空间位置进行组合,可形成二维或三维的速度分布。

  3)偏移成像

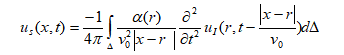
  在获得了波速分布的基础上,使用滤波后的地震记录,通过偏移成像获得地质界面的形态分布。偏移成像的物理量是散射系数α,其数字表征地质界面上地层模量差异的大小。偏移成像的地质界面与速度的分布是一致的,两者可互相印证。

  偏移成像的数学运算由(8)式给出,其中n表示激发点数,m为接收通道数。

(8)

  其中r为像点位置矢量,ri、rj分别为激发点、接收点位置矢量;vi、vj分别表示入射波与散射波的平均波速;uij为第i次激发第j个接收点的记录。

  因为地震散射勘探使用小排列采集方式,偏移成像的计算实际上是小角度范围内地震记录的延时叠加,因而保有较高的横向分辨率。

  三 横琴隧道海底孤石的勘探

  1 隧道工程地质概况

  横琴隧道为横琴岛的第三条交通通道,穿越马骝洲水道,水深6-8m。隧道长约600m,直径约15m,埋深34m,双线盾构法施工。前期工程地质勘探查明,隧址内浅部为海相沉积,下部基岩为花岗岩,埋深在38-40m左右。孤石隐伏于全风化与强风化层中,影响盾构法施工。需要查清直径1-2m以上的孤石与基岩突起的分布。隧道地质断面如图2.

图2 横琴海底隧道地质断面

  2 水上地震数据采集

  海底孤石勘探要求分辨出1-2m以上的孤石,需要在水上进行密集的数据采集。由于水流、风速的影响,船速不能太低,想通过1次走航来完成炮间距1-2m的高密集采集是不可能的。基于地震散射数据采集灵活性的特点,可以在GPS的引导下通过多次的走航和反复采集,来实现炮点间距1m-2m高密度采集的目的。

  本次勘探区沿隧道轴向长300m,横向宽60m。轴向上炮点间距1m,横向上间距2m,实现了炮点按1m×2m网格布置的目标。使用24道水听器,间距0.5m,偏移距1m。3万焦耳电火花震源,每分钟激发一次,共采集10400炮记录。有效勘探深度超过80m。为三维速度结构的获取奠定了可靠基础。测区位置如图3,采集方式如图4。

图3 水上孤石勘探区位置 图4 水上地震散射数据采集方式

  3 海底孤石的勘探结果

  经过数据处理,生成勘探区三维波速分布与地质界面分布的数据结构。数据在隧道轴线方向点距1m,横向方向点距2m,垂直方向点距0.5m。该三维数据结构支持水平、纵向、横向切片分析。测区基岩的波速大于2400m/s,根据这个速度值可确定了隐伏基岩与孤石的高程平面分布。对三维数据结构进行纵、横、水平方向的切片,给出波速与地质剖面。从埋深20m到50m给出30幅水平切片,间距1m;按隧道里程给出波速横切片300幅,间距1m。这些切片直观、准确地反应了孤石的空间位置与形态。

  勘探发现与隧道有关的孤石与基岩突起26处,其中直径大于3m的有9处。这些结果指导了孤石处理工作,保证了隧道于2017年顺利完工。

  (1)测区基岩与孤石高程的分布

  地震散射数据的处理,得到了测区300m×60m×60m范围内岩土介质波速的三维分布。提取出波速值达到和超过2400m/s的最浅埋深数据,绘制成基岩与孤石高程平面图(图5)。其中红色埋深最浅,不到30m,其次为黄色,蓝色、深蓝色埋深大。图中多数地域基岩埋深在38-40m。零星分布的红、黄色为基岩突起与孤石分布,主要集中在测区的左侧随道。

图5 测区基岩与孤石高程分布图

  (2)隧道轴向剖面地质界面与波速分布图

  从三维波速结构与偏移数据中,沿隧道轴向做垂向切片,获得地质界面和波速分布图像(图6a,6b),长300m,深60m。图6a为偏移图像,反映地层、基岩的界面形态,埋深30m以内,界面近水平层状,反映海相沉积特点;30m以下界面起伏较大,反应基岩的形态特征;

图6a 隧道轴向偏移成像剖面

  图6b为波速轴向剖面图像,红色为高波速,波速高于2400m/s, 对应中风化基岩与孤石;蓝色为低波速, 1450m/s,海水和淤泥;浅部30m内为波速低于1800m/s的海相沉积;30-40m深度为中等波速(1800-2400m/s)的全风化与强风化层。40m以下为红色的、波速高于2400m/s的中等风化岩。在强风化岩中存在波速高于2400m/s的异常体,为孤石与基岩突起。

图6b 隧道轴向波速分布剖面

  (3)水平切片与孤石位置

  水平切片能直观地反映孤石的平面位置,这里选择埋深33m的水平切片示于图7。图中红色表示的波速高于2400m/s的孤石与基岩突起;褐色表示波速为2000-2400m/s的强风化岩;黄色为波速1800-2000m/s的全风化与黏土。图中黑色椭圆曲线表示隧道的交线,由此可直观地发现与隧道有关的孤石的位置,并进行了编号统计,发现多数孤石分布在左侧隧道位置。

图7埋深33m的波速水平切片与孤石位置

  (4)横切片中隧道与孤石的关系

  沿隧道里程每米得到1幅波速横切片,其中用黑色标示出了隧道的截面位置。红色为波速高于2400m/s的岩体,包括基岩突起与孤石。这里选择3幅基岩突起与隧道相交截面,展示隧道与孤石的关系(图8)。图中的形态说明大部分所谓的孤石,其实是基岩突起,是有根的,并不是传统意义上的飘石。

图8 波速横切片中的隧道与孤石

  4、钻探验证与处理结果

  物探工作结束后,从2016年1月29日到3月11日,对物探结果进行了钻探验证;2016年5月20日到7月31日,对孤石进行爆破处理,共完成钻孔2426个。证实物探与钻探的吻合率达到90%,平均深度误差在1m以内。 物探工作对孤石的处理起到了指导作用,保证了隧道盾构2017年顺利完工。

  四、结论

  珠海横琴海底隧道孤石的探测实践表明,地震散射勘探技术可达到1-2m级的高分辨率,并具有可靠性好,采集灵活的特点,可以作为海底孤石探测的一种新的选择。水上孤石勘探技术要点可归结为如下3点:

  1) 采用小排列,多次的走航,达到密集采的目的,实现高分辨率勘探;

  2) 数据处理是以共炮点记录为基础,建立垂直波速结构和地质柱状;

  3) 对孤石的勘探,重点是建立三维速度结构,以波速大于2400m/s为指标,搜索每一个

  高速异常体;

  上述这些技术路线对于孤石探测是可行的,可靠的。

  为提高水上地震勘探的效率和精度,地震勘探设备需要做进一步改进。首先是震源的激发的时间间隔应大大缩短,达到几秒钟一次,便于实现高密度采集;其次,水听器的接收方式需要改进。目前漂浮式检波电缆,容易受水流的影响,位置偏离较大,影响定位精度,如果能与船体固定,效果会更好。

  地震散射勘探作为一种新技术,还需要在实践中不断地改进与发展。

售后服务

商家电话:
13601391546