TST超前地质预报技术在岩溶地区隧道施工中的应用与探索

TST超前地质预报技术在岩溶地区隧道施工中的应用与探索

价格 面议
起订量 10㎡
货源所属商家已经过真实性核验
品牌 工程物探仪器设备供应服务商
型号 TST
关键字
在线咨询 立即下单 留言询价 电话咨询
北京同度工程物探技术有限公司
通过真实性核验手机验证
主营:
隧道超前预报设备:掘进机超前预报,浅层陆地勘探,跨孔CT,电火花震源,桥梁无损检测,水上多道地震

进入店铺全部产品

店内推荐

联系我们

联系人:赵晓鹏

邮箱:

电话:13601391546

地址: 北京丰台区北京市海淀区花园路2号院2号楼1112室

产品详情
型号

TST

类型

浅层地震仪

测量范围

不限

测量精度

0.1

用途

隧道探测

加工定制

厂家

同度物探

  新建沪昆铁路是我国交通网中“五纵五横”运输大通道的重要组成部分,是长三角、珠三角等沿海经济发达地区向西南内陆地区进行经济辐射的主要轴线,在区域综合交通运输体系中作用巨大。沪昆线西段主要位于云贵高原及其边缘过渡地带,区域范围内地质构造复杂,构造线密集,断层发育,有岩溶、煤层瓦斯和采空区、液化砂石、软质岩风化剥落等不良地质条件。

  在隧道施工过程中超前地质预报技术对于查清隧道不利地质条件、预报掌子面前方的地质构造和含水性、保障施工安全具有重要作用,已成为隧道施工必要的技术环节。基于地震反射理论的隧道超前地质预报技术预报长度大,工作效率高,得到了较广泛的应用,但也存在一定的技术缺陷。对于大型断裂带和岩性分界面等地质对象,因其物性差异大故反射信号强,使用基于反射理论的地质超前预报技术开展工作,难度相对较小。对于岩溶、围岩裂隙等小型地质构造的预报基于反射理论的地质超前预报技术则难以发挥作用,误报率高。在我国西南的岩溶区,大部分岩溶是以构造裂隙岩溶为主,沿断裂与构造裂隙发育。由于溶蚀、崩塌、冲蚀作用,岩溶形态复杂,多有部分填充。管道岩溶也较发育,其埋深大,形成地下暗河。这些岩溶形态复杂,体积小,表面极不规则,展布规模小于地震波长,对地震波难于形成有效的反射,地震波主要以散射形式传播。针对岩溶区地震场波的特征,利用散射波进行地质超前预报势在必行。散射波的传播规律、波场特征与反射波不同,不能应用地震反射资料处理技术处理,需要应用针对散射波的专有的处理技术。TST地质超前预报系统就是基于散射地震成像技术的地质超前预报系统。本文利用基于散射理论的TST超前预报系统并综合地质雷达等其他预报方法成功解决了岩溶地区地质超前预报的难题。

  二、TST隧道地质超前预报技术

  2.1散射扫描成像技术

  超前预报时在隧道围岩中使用人工源激发地震波,地震波向四面八方传播,遇到岩性变化界面、地质构造、岩溶、地表面等波阻抗变化界面时发生反射、散射与折射。当地质界面尺度远大于地震波波长时,地震波传播遵从层状介质中的反射理论,反射波能量大,并沿着反射角等于入射角的方向传播。纵波的波动方程为:

(1)

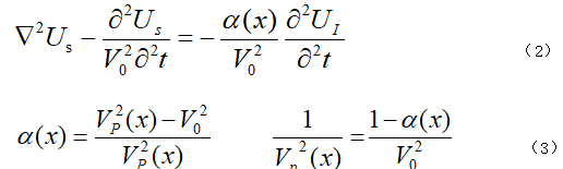
  当地质界面的尺度小于地震波长时,地震回波的传播遵从散射理论,散射波不再具有单一的方向,而是以散射点为中心向四面八方传播。在BORN近似下,散射纵波的传播方程为:

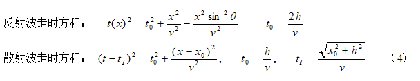
  其中α代表波阻抗异常分布。散射波方程是一个被动源方程,在外界激励的振动加速度和介质的波阻抗异常的联合作用下向周围发散地震波。与反射波相比,散射波的能量较弱,频率偏高。在实际地质条件下,既有像岩性界面、断层、地表面等这样的大尺度的反射界面,也有像岩溶、采空区、孤石等这样的小尺度离散地质体(图1)。地质介质中反射波和散射波同时存在。共炮点记录中反射波与散射波的走时t分别遵从如下方程:

  其中h分别为界面及散射点埋深,v为波速,ti为日射波走时,t0为最小走时。

图1 隧道地质超前预报观测模型

图2 反射与散射混合理论模型

  采用反射与散射的混合模型(图2),根据反射波以及散射波的传播规律,分别将散射波和反射波进行偏移归位,得到隧道掌子面前方的真实地质情况,这就是TST散射扫描技术的基本思想。关于TST地质超前预报系统数据处理的具体技术措施,如方向滤波、围岩速度分析、扫描成像等以及在数据采集时的观测系统要求赵永贵、蒋辉等(2008)已经多次论述,此处不再介绍。

  2.2 TST数据处理结果的解释原理

  TST 的波速图像与偏移图像的地质解释遵从如下原理:波速的分布可用于掌子面前方岩体的力学性状的推断,岩体波速高表示岩体结构完整致密,弹性模量高;波速低代表岩体破碎,裂隙含水;构造偏移图像表示地质结构的组合图像和地层性质的变化。构造偏移图像中反射条纹密集的地段,结构复杂、构造发育,在波速图像中对应位置为低波速带;构造条纹少的地段,围岩均匀致密,波速图像中对应高波速带。对岩体含水性的预报要结合水文地质资料,如果隧道标高在地下水位之下,则可判定断裂带和破碎岩体富含地下水,如果隧道标高在地下水位之上,则断裂带和破碎岩体仅可能含少量水或季节性含水。偏移图用色彩分明的蓝红分别表示软硬岩体界面,红色线条代表正的波速异常,表示波速由低变高、岩体由软变硬的界面;蓝色线条代表负的波速异常,表示波速由高变低、岩体由硬变软的界面;先蓝后红线条的组合代表存在一个断裂带。

  三、应用实例

  3.1 斗磨隧道进口平导

  斗磨隧道位于贵州省关岭自治县境内,地处云贵高原构造剥蚀中低山区,区内地形波状起伏,隧址区内点位于隧道轴线南侧的山顶,海拔高程2454.3m;点位于隧道出口南侧的河谷中,海拔高程1142m,相对高差1312.4m。隧道穿越区域以碳酸盐、含煤地层分布为主要特征,具有剥蚀~溶蚀槽谷地貌特点。地表分布有大多裸露,溶槽、溶蚀地貌景观。

  隧址区基岩大多裸露,隧道进出口及缓坡地带分布有少量覆土,隧道区地表水以山间沟水为主,水量较小,雨季时沟内水量明显增加。地下水类型主要为第四系松散土层空隙水、基岩裂隙水、岩溶水。不良地质现象主要为岩溶及岩溶水、煤层瓦斯及采空区、危岩落石等,特殊岩土为石膏,斗磨隧道因高含量的瓦斯层,被列为沪昆全线的一级风险隧道,是铁道部重点工程。本次预报斗磨隧道进口平导D1K841+495掌子面前方150m的地质情况。

  3.1.1 TST数据处理结果及地质解释

  通过TST数据处理中地震数据导入、坏道剔出、带通滤波、干扰信号消除、观测坐标编辑、二维方向滤波等步骤,经全局扫描和分段扫描,得到预报地段围岩的速度分布,见图3所示。

图3 斗磨隧道进口平导速度曲线

  使用前方回波地震数据和分析得到的速度分布,进行深度偏移成像,得到如图4 所示的TST 构造深度偏移成像,它反映了掌子面前方的地质构造特征。

  注:图中黑色小框为检波器孔和爆破孔布置点

  图4 斗磨隧道进口平导地质构造偏移成像

  利用图3、图4并结合地质资料分析得出斗磨隧道进口平导D1K841+495掌子面前方150m内地质情况,可划分为3段(如表1):在D1K841+495~D1K841+526段附近围岩稳定性和完整性较差,裂隙较发育,岩体较破碎,分析存在溶洞或破碎带;在D1K841+526~D1K841+603段围岩稳定性和完整性较好,裂隙稍发育;在D1K841+603~D1K841+645段附近围岩稳定性和完整性较差,裂隙较发育,岩体较破碎,分析存在断层或软弱夹层。

  表1 斗磨隧道进口平导TST地质超前预报结果

  该段围岩在构造偏移图上呈现红蓝组合,围岩稳定性和完整性较差,裂隙较发育,岩体较破碎,分析存在断层或软弱夹层。围岩为IV级。

  根据以上预报结果,建议在施工的过程中,对围岩稳定性和完整性较差~差的地段,应加强支护。建议在D1K841+495~D1K841+526、D1K841+603~D1K841+645段采用地质雷达、红外探水仪或加深炮眼方法对掌子面前方地质灾害体分布和地下水情况进行探测。有必要时,采用多功能钻机进行超前钻探。

  3.1.2 超前水平钻探测结果与TST结果对比验证

  根据超前地质预报结果,施工方在掌子面进行了超前水平钻探测,探测结果为:里程D1K841+506~D1K841+517,此处存在较大溶洞,且有粘土、淤泥等填充物;里程D1K841+517~D1K841+538,此处钻杆推进速度忽快忽慢,钻孔处水为黑色,且带煤气味,初步判断此区段可能存在煤层[8]。

  通过TST预报结果与超前水平钻探测结果相互对比应证,说明我们所作的建议是合理的,而在D1K841+495~D1K841+526段附近围岩稳定性和完整性较差,裂隙较发育,岩体较破碎,分析存在溶洞或破碎带,与超前水平钻探测结果基本符合。

  3.2 大独山隧道1#横洞

  大独山隧道全长11882m,进口里程DK852+772,出口里程DK864+654,为单洞双线隧道,隧道可能溶岩长度为9063m,占全隧长度的76%。大独山隧道位于地处黔西高原向黔中丘陵过渡地带,属构造剥蚀、溶蚀中低山地貌,总体来看,地势北西高南东低,具构造剥蚀~溶蚀地貌特点。

  大独山隧道洞身断层破碎带发育,区域断层7处,物探解译断层11处,下穿1处暗河(位于隧道拱顶上约43m),部分段落隧道处于水平循环带内,部分段落处于季节交替带,洞内为人字坡。该隧道地质复杂,为I级风险隧道。

  3.2.1 TST数据处理结果及地质解释

  按TST数据处理流程处理后得到大独山隧道1#横洞H1D1K0+808掌子面前方150m内的地质体围岩波速曲线图、偏移图像如图5:

图5 大独山隧道1#横洞速度曲线

  使用前方回波地震数据和分析得到的速度分布,进行深度偏移成像,得到如图6 所示的TST 构造深度偏移成像,它反映了掌子面前方的地质构造特征。

  注:图中黑色小框为检波器孔和爆破孔布置点

  图6 大独山隧道1#横洞地质构造偏移成像

  对比图5、图6,结合掌子面开挖情况和地质资料综合分析,得到如下结论:在H1D1K0+808~H1D1K0+760附近围岩稳定性和完整性较差,岩溶裂隙较发育,岩体较破碎,有水,在隧道中轴线右侧,疑存在充填型岩溶裂隙;在H1D1K0+760~H1D1K0+658段围岩稳定性和完整性好,裂隙稍发育。详见表2

  表2 大独山隧道1#横洞TST地质超前预报结果

  根据以上预报结果,建议施工方在H1D1K0+808~H1D1K0+760段应加强支护并采用地质雷达、红外探水仪或加深炮眼方法对掌子面前方地质灾害体分布和地下水情况进行探测。

  3.2.2 地质雷达探测结果与TST结果对比验证

  根据超前地质预报结果,施工方采用短进尺向前开挖,发现向前开挖岩体逐渐破碎并有裂隙水出现。开挖到H1D1K0+784,施工方在掌子面进行了地质雷达探测,探测结果为:在掌子面前方0~10m深度范围内:电磁波反射信号较强,频率中等,同相轴较为连续,有断续。判断此区段内岩层较破碎,岩层含水,可能有夹层。在掌子面前方10~30m深度范围内电磁波反射信号较强,频率中等,同相轴较为连续,有断续,初步判断此区段内岩层裂隙发育,局部为破碎带或填充物,岩层含水,可能有夹层[9]。

  通过TST预报结果与实际开挖情况、地质雷达探测结果相互对比应证,可以看出我们所做的预报结果与地质雷达结果基本符合,说明TST预报结果是准确的,建议是合理的。

  四、结论

  本次在岩溶区铁路隧道超前地质预报中采用基于散射理论的TST 技术,基本查明了斗磨隧道进口平导、大独上隧道1#横洞掌子面前方150m内地质情况预报范围内的地质情况,探明了隧道掌子面前方岩溶裂隙的分布范围和规模以及发育情况,预报的结果与实际情况基本一致,为施工方提前采取支护措施提供了准确的地质依据,避免了工程事故的发生。

  对于岩溶发育等地质构造复杂地区,利用TST超前地质预报系统对掌子面前方地质灾害体分布和地下水情况进行探测,能够有效、准确的进行隧道超前地质预报。

售后服务

商家电话:
13601391546