地震散射方法在注浆效果检测中的应用-同度物探

地震散射方法在注浆效果检测中的应用-同度物探

价格 面议
起订量 10㎡
货源所属商家已经过真实性核验
品牌 工程物探仪器设备供应服务商
型号 SSP地震散射系统
关键字
在线咨询 立即下单 留言询价 电话咨询
北京同度工程物探技术有限公司
通过真实性核验手机验证
主营:
隧道超前预报设备:掘进机超前预报,浅层陆地勘探,跨孔CT,电火花震源,桥梁无损检测,水上多道地震

进入店铺全部产品

联系我们

联系人:赵晓鹏

邮箱:

电话:13601391546

地址: 北京丰台区北京市海淀区花园路2号院2号楼1112室

产品详情
型号

SSP地震散射系统

测量范围

不限

用途

孤石探测

加工定制

产地

北京

厂家

同度物探

  注浆作为保障地下工程安全的主要措施和辅助施工工艺,对地下工程及其周边建筑的安全和质量具有非常重的要意义。但注浆效果的检测是行业内共同的难题,为探索注浆效果检测的有效方法,文中在比较现有检测方法的基础上,通过理论分析和实际应用发现地震散射方法能够提供对注浆效果敏感的地震波速分布,以波速为依据能判定注浆效果好坏,确定残留缺陷位置,并且该方法还具有分辨率高、勘探深度大、经济高效、不损坏路面,对交通干扰小的优点,是城市地下工程注浆效果检测的方法。

  1 引 言

  随着城市土地资源愈发紧张,交通日益拥堵,大量城市地下空间被开发利用,以地铁为代表的地下工程项目剧增。李凤伟等(2014)[1]、王凯椿(2014)[2]、黄俊等(2004)[3]研究了地下工程施工对地层及周边建筑的影响:一方面,地下工程在施工过程中可能会破坏地层稳定,造成路面塌陷等次生地质灾害;另一方面,施工会对周边建筑物产生扰动,影响其安全。地下工程造成的安全隐患和事故屡见不鲜,为了保证安全,减小地下工程施工对地质条件和周边建筑物的影响,通常采取的措施包括两方面。一方面,开挖前改善地层状况,降低施工对地层的破坏,例如地铁施工中,如果遇到地层薄弱或富水的情况,会预先加固软弱地层或做堵水防渗处理[4,5]。另一方面,治理施工形成的不良地质体,消除隐患,例如地铁开挖后治理开挖形成的土体空洞和松散[6]。开挖前后的治理通常都以注浆的方式进行,注浆不仅能强化地层、消除缺陷,同时还能堵水、防渗、控制下沉、控制变形等。

  注浆对地下工程、道路交通以及周边建筑物三者的安全至关重要,但现有的注浆效果检测手段效果有限,尤其是检测城市地下空间注浆效果的物探方法仍处于起步阶段。目前常用的注浆效果检测方法有四类:观察法、分析法(经验公式法)、变位推测法和检查孔法(钻芯取样法)[7],但这四类方法都有一定的局限性。观察法是在注浆后、开挖过程中或钻孔后观察注浆孔、开挖断面或钻孔的稳定性、涌水、涌砂等情况,定性评价注浆效果,这种方法准确度低,且过于依靠经验。分析法是以对比、经验公式等方式分析评估注浆参数,这种方式只能评价注浆的整体效果,难以确定缺陷的具体位置。变位推测对注浆前后及和注浆过程中的地下水位或地表沉降进行监测,分析二者的变化以间接评估注浆效果,该方法同样难以确定缺陷的具体位置,且效率和准确度相对较低。钻芯取样法通常是建立在种检测方法结论的基础上,该方法准确度高,但工期长,成本高,且只能反映钻孔及附近小范围的注浆效果。总的来说,目前并无经济高效、效果显著的城市地下空间注浆效果检测手段,这方面的研究十分必要。

  2 物探方法检测注浆效果

  物探方法以其经济、高效、无损、准确的优势,广泛用于工程勘察和检测领域。目前城市地下空间注浆效果检测的物探方法很少,主要使用地质雷达方法[8]。采空区和岩溶的注浆效果探测与城市地下工程注浆效果检测类似,探测采空区和岩溶注浆效果的常用物探方法有:高密度电法、地质雷达、电测深、瞬变电磁、钻孔电磁波CT、钻孔地震波CT、瑞雷面波[9~18]。但对于城市地下工程的注浆效果检测,因城市环境复杂、特殊,这些方法变得不再非常适用。城市的硬质覆盖层,使得电(磁)方法的电极无法接地。地质雷达勘探深度有限,且勘探深度稍大时需使用分辨率较低的低频天线。同时大部分电(磁)方法的分辨率相对较低,且对深度反映不够准确。最重要的原因是注浆效果好的区域和注浆效果差的区域,注浆体和周围地层,在电性上的差异不大。

  注浆效果检测对分辨率要求高,且勘探深度不断增大,而电(磁)方法的应用效果不好,因此物探方法应考虑地震方法。地震方法中常用的有:面波法、地震折射方法、地震反射方法。对于面波方法,城市环境内,在地表激发地震波,面波能量集中于硬质覆盖层,检测目标层内面波能量弱,因而面波方法无法用于城市地下工程的注浆效果检测。地震折射方法要求测线较长,不适合城市物探;且地震折射方法对注浆体这样的非面状结构不敏感,所以地震折射方法也不适合检测城市地下工程注浆效果。地震反射方法也有其局限性:硬质覆盖层使得检波器与地面耦合困难,且反射波法对非层状结构不敏感,多解性问题严重。

  总的来说,常用工程物探方法无法有效解决城市地下工程注浆效果检测的问题,主要原因是这些方法对注浆效果不够敏感。物探方法对注浆效果敏感,就是对注浆前后、注浆效果好坏最相关的物性参数敏感。虽然注浆工艺应用非常广泛,但主要是两个目的:一是加固地层、治理缺陷,一是堵水、防渗。因而注浆前后、注浆效果好坏的差别是强度和孔隙度的区别,这些特征反映在物性上就是地震波速(波阻抗)的差别,注浆效果好的地层地震波速高,注浆效果差的地层地震波速低,因此如果某物探方法能够得到地下介质的地震波速分布或波阻抗分布,则该方法适合检测注浆效果。

  3 地震散射方法用于注浆效果检测

  地震散射方法是基于地震散射理论的地震勘探新方法,它能够提供准确的地震波速分布以及地质界面信息,因而地震散射方法适用于检测注浆效果。

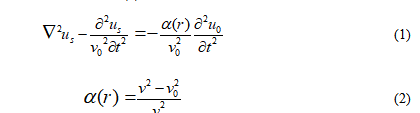
  地震散射理论中,散射波的波动方程如(1)式所示。

  其中:u0为入射波,us为散射波,α(r)表示散射强度,v表示随空间位置变换变化的波速,v0为背景波速。综合(1)式和(2)式可知波阻抗变化是产生散射波有一个必要条件,波阻抗变化点是产生散射波的源,且波阻抗变化越大,产生的散射波越强。

  如图1所示,激发弹性波在介质中传播,弹性波在传播过程中遇到波阻抗变化处会产生散射波向四周传播。地震记录中的散射波是介质各波阻抗变化点产生的散射波的叠加,且散射波和介质波速(波阻抗)变化对应,通过地震资料处理可对介质波速分布成像。

图1 地震散射方法示意

  地震勘探方法中,使用范围最广,发展最成熟的方法是反射地震方法。反射波法的地质模型为层状均匀模型,而散射波法的地质模型是非均匀地质模型,这一模型的波速在横向和纵向上都是可变的。勘探对象的实际地质结构往往也是非均匀的,散射波法的非均匀地质模型更符合介质实际情况。

  反射地震理论将地下介质简化为层状结构,层内波速不变,反射波产生于层间界面的反射点,散射地震理论认为任意一个波阻抗变化点均会产生散射波,根据惠更斯原理,反射波也是散射源规则排列时各散射点产生的散射波相干叠加的结果。由于地震反射要求界面的水平尺度要大于3倍波长,地震散射界面的尺度可以为波长的1/3,因而散射处理技术的分辨率比反射处理技术大幅提升。

  地震散射方法与地震反射方法比较差异较大,因此在数据处理方面也有很大变化,地震散射方法数据处理有三项关键技术:波场分离、速度分析和偏移成像。

  波场分离技术是散射方法保证勘探结果可靠性的一项重要技术。地震记录中有用信号散射波的能量较弱,面波、声波等干扰能量较强,只有提高散射波的信噪比,才能得到准确的勘探结果。散射方法采用基于F-K变换和基于τ-P变换的滤波技术进行波场分离,前者以视速度为标准进行滤波,后者综合视速度和走时的双重差异滤波。

  速度分析技术是由地震记录获得地震速度分布的技术,它是散射方法一项的非常重要的数据处理技术。一方面地震波速分布越准确,由双程时得到的界面位置就越准确;另一方面,地层波速分布是地质解释,尤其是注浆效果检测解释中的重要且可靠的参数。地震散射方法以Radon积分变换为基础,对共炮点记录以速度扫描的方式沿双曲线路径作能量积分,当积分使用的速度与地层实际波速一致,反射波能量最强。通过速度分析得到炮点附近的地层速度结构,综合所有炮点的速度结构可得到二维或三维的地震波速分布,即得到地层波速分布图像。

  偏移成像技术是由地震记录得到地质界面的分布及波阻抗变化定性特征的技术。通过偏移成像技术获得介质的散射强度分布,散射强度可表示波阻抗变化,正值表示波阻抗升高,负值则表示波阻抗降低。散射强度值较大的界面对应地质界面位置,以介质的散射强度为参数绘制成图,可得到地质界面偏移图像,确定地质界面的位置和形态,以及地质界面的力学性质,即地质界面两侧波阻抗的变化。

  通过地层波速图像中地层波速分布信息可以判断注浆效果好坏,并确定注浆后残留缺陷的位置。注浆前地层强度低,孔隙度大,地震波速较低;注浆后强度增大,孔隙度降低,波速升高;且注浆效果越好,强度越高、孔隙率越低,波速越高。因而,注浆后地层波速图像中,注浆效果好的区域地震波速高,遗漏未注浆或注浆效果不好的区域的地震波速较低。另外通过地质界面偏移图像中的地质界面位置、形态以及力学性质,可以辅助判断注浆效果及残留缺陷边界。

  从原理分析,散射波方法的非均匀地质模型比传统地震方法的地质模型更符合地下介质实际情况,分辨率比传统地震方法高。同时由于地震散射方法使用拖缆接收振动信号,检波器无需插地耦合,不损坏路面,工作效率高,对交通影响小。最重要是散射地震方法能够通过速度分析提供对注浆效果最为敏感的地震波速信息,再结合偏移成像获得的地质界面的形态位置和力学性质信息,采用多参数多特征联合解释,判定注浆效果的同时给出残留缺陷位置的信息,非常适合用于检测城市地下工程注浆效果探测。

  4 地震散射方法用于注浆效果检测的应用实例

  4.1 工程概况与检测工作布置

  北京地铁14号线经过甜水园中街,区内14号线为单洞双线隧道,隧道直径10.22m,并有隧道直径6m的地铁6号线联络线与之并行,隧道顶面埋深约14m。该区段工程地质和水文地质情况较差,地铁隧道位于第四系冲洪积层之内,地下水位较高,透水性不均,粘性土、粉土、砂类土、卵石交互沉积,土质松散,遇水不稳定,成拱条件差。为避免地铁施工对地下管线及地面建筑物的影响,施工过程中从隧道内部及路面对地层注浆加固处理。注浆后发现注浆效果欠佳,传统方法无法准确评估注浆效果并确定残留缺陷的位置和规模,决定使用地震散射方法检测注浆效果,寻找遗漏未处理和注浆效果较差的区域,作为进一步处理的参考。

  本次检测布置两条测线,左线沿14号线隧道轴线布置,右线沿6号线联络线隧道轴线布置。两条测线长度均为670m,各分为6个剖面(分别为L-1~L-6和R-1~R-6)。检测中检波器间距0.5m,敲击点间距1.0m;左线中部200m的范围内建筑物集中,为重点探测区,重点探测区域加密布测,检波器间距0.25m,敲击点间距0.5m。检测使用的仪器为16通道声频地震仪,使用拖缆接收震动信号。

  4.2 评价标准

  注浆后地层中既有注浆形成高速注浆加固体,也可能有残留的缺陷,地下工程施工形成的土体缺陷主要有三类:疏松、松散和空洞,其波速依次降低。根据大量的工程经验可知:与原位正常地层比较,疏松区波速降低10-20%,松散区波速降低20%-40%,空洞区波速降低超过40%,注浆加固区的波速增高20%以上,且波速增高得越多注浆效果越好。

  甜水园中街区段内原地稳定地层的波速分布范围为800-1000m/s,结合注浆区、疏松、松散、空洞的速度判识指标确定:注浆加固区波速高于1200m/s,疏松区的波速在650m/s<Vp<750m/s的范围,松散区波速在500m/s<Vp<650m/s的范围内,空洞区波速低于500m/s。

  4.3 检测结果

  由于篇幅限制,本文仅以L-1、R-6两个剖面为例说明检测结果。

  4.3.1 L-1剖面检测结果

  L-1剖面地层波速见图2,图中以颜色代表波速,红色和黄色代表高波速区域,蓝色区域代表低波速区域。该剖面背景波速约900m/s,地层较密实。剖面内波速变化剧烈,说明地铁施工对土层的扰动大。

图2 L-1 剖面地层波速与注浆区、松散区分布

  地层波速图像中,黑框范围内的高速区域为注浆加固体,共4处,其位置和规模见表1。从L-1剖面的地层波速图像中可以看出,注浆体地震波速远高于周边地层波速,多个注浆体连接形成大范围的整体。低速缺陷规模很小,各缺陷孤立存在,这些特征说明L-1剖面范围内地层注浆加固效果明显。注浆体既有从隧道内部注浆,也有从地表注浆,符合实际注浆工作布置,且经对比发现注浆加固体位置与注浆孔位置一致。白框范围内的低波速区域为注浆处理后残留缺陷范围,共有3处,其位置和规模见表2。建议根据表中缺陷的位置与埋深对三处缺陷,尤其是前两处缺陷进一步注浆加固处理。

  表1 L-1剖面注浆加固区位置

  4.3.2 R-6剖面检测结果

  R-6剖面的地层波速见图3,图中红色和黄色为高波速区域,蓝色区域为低波速区域。剖面内未见注浆加固迹象,浅部波速较高,地层稳定,深度大于7m的范围内发育有8处松散区,低速松散区规模不大,但波速较低,其位置、规模见表3。

图3 R-6 剖面地层波速与注浆区、松散区分布图

  表3 R-6剖面松散区位置

  比较两个剖面的地层波速图像,可发现两个剖面的松散区呈现出不同的特征:R-6剖面的松散区发育于隧道顶面,形态圆润,推断此类松散区是由地铁开挖扰动形成;L-1剖面的松散区伴随注浆加固体出现,形态不规则,推断产生此类松散的原因为:地铁开挖造成土层疏松,由于注浆所使用的水泥浆水灰比过大,疏松土体液化形成松散区甚至空洞。因此注浆过程中应掌握好水灰比,在实现注浆目标的前提下尽可能减少土体进一步的液化松散。

  5 结论

  注浆对地下工程的质量和安全意义重大,但是注浆效果检测是一个难题。理论分析和应用都证明:地震散射技术提供了对注浆效果最为敏感的地震波速分布,能够准确地判断注浆效果的好坏,并确定残留缺陷的位置及规模,为进一步处理提供参考。同时该技术还具有快捷、高效、不损坏路面、对交通影响小的优势,是城市地下工程注浆效果检测的方法。

售后服务

商家电话:
13601391546